Анализ кала на дисбактериоз
Заказать анализ кала на дисбактериоз можно, обратившись в наш центр «Медкомиссия». Оператор по телефону расскажет, где можно быстро получить медицинский анализ.
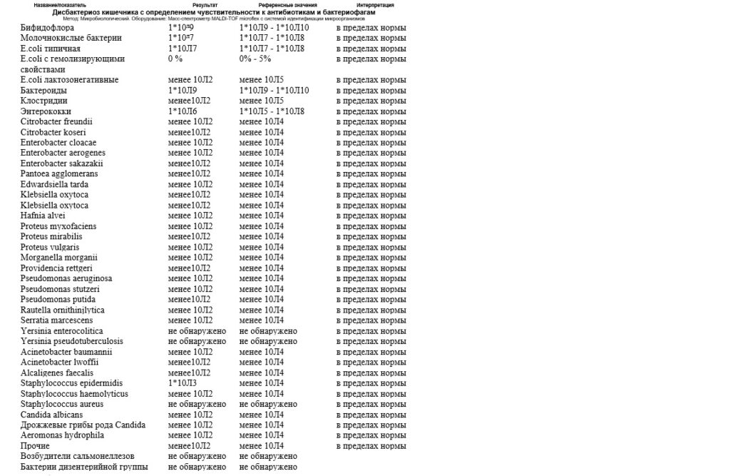
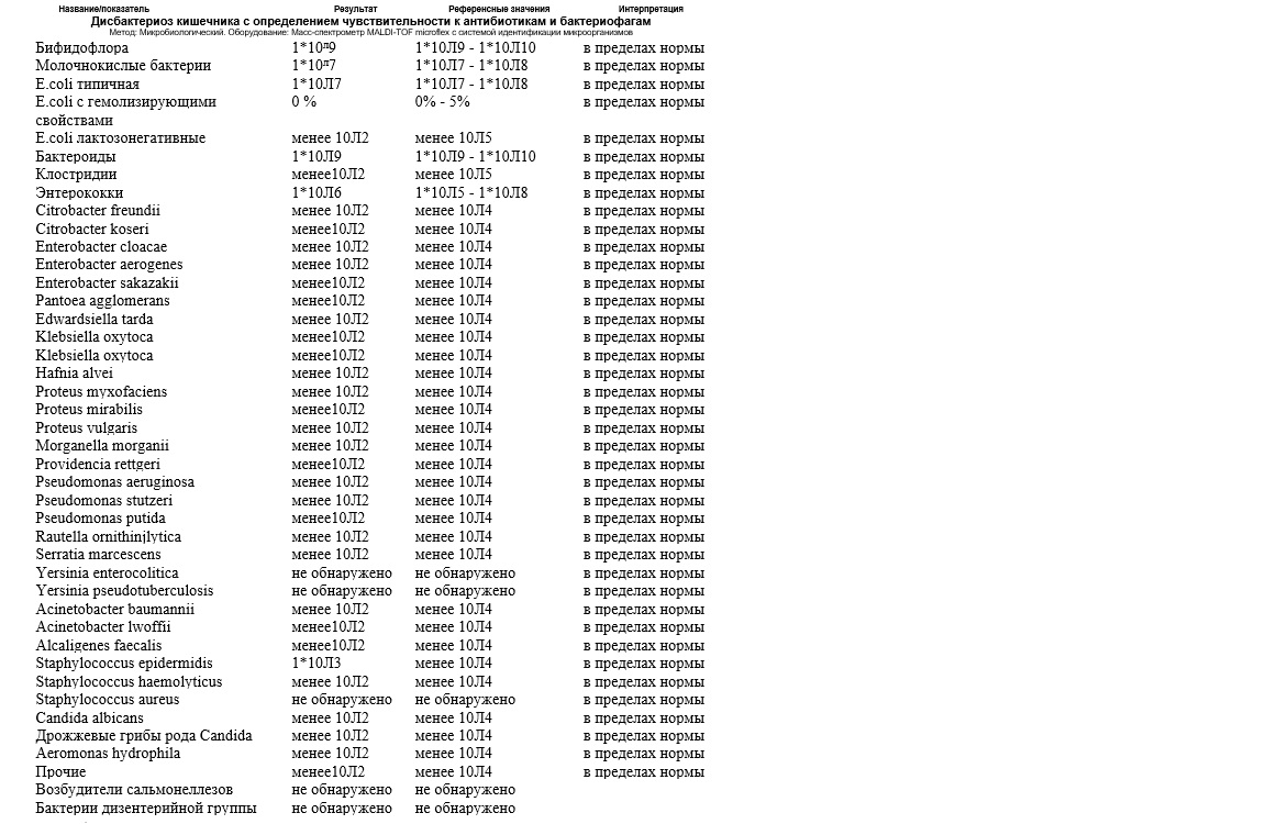
Образец анализа кала на дисбактериоз
Микрофлора нижних отделов ЖКТ под действием разных факторов, после перенесенных заболеваний изменяется не в положительную сторону. Если наступает дисбаланс, начинает падать местный иммунитет. Врачи рекомендуют сдать анализ кала на дисбактериоз кишечника. Цена зависит от лаборатории, метода исследования, а результаты позволяют установить правильный диагноз, подобрать лечение. Справку-заключение нередко требуют по формальным причинам, например, при предстоящей поездке в санаторий, поступлении ребенка в школу, детский сад. Если заниматься бумажной волокитой некогда, звоните сотрудникам «Медкомиссии» Санкт-Петербурга. Мы поможем быстро решить вопрос и получить медсправку в день обращения.
Стоимость анализа кала на дисбактериоз и его назначение
Полезные микроорганизмы кишечника вырабатывают витамины, поддерживают слизистую оболочку ЖКТ здоровой, помогают бороться с болезнетворными микробами при инфекции. Но порой микробиота начинает пополняться колониями условно-патогенных бактерий, а в значительном количестве они вызывают довольно неприятные симптомы. Доктора рекомендуют сдавать биоматериал на посев в следующих ситуациях:
- перенесенная инфекция;
- прием антибиотиков;
- хроническая диарея;
- болевой синдром;
- неэффективность лечения.
Также придется узнать, сколько стоит анализ кала на дисбактериоз в СПб, и провести обследование для предоставления заключения по требованию. Справку надо приобрести при трудоустройстве на некоторые виды работ (пищевая промышленность, медицина), оформлении санаторно-курортного лечения, перед операцией. Срок выполнения анализа с определением чувствительности микробов к бактериофагам, антибиотикам очень длительный – 7-10 суток.
Где оформить медицинскую справку быстро
Чтобы купить документ, нужно обратиться в частную медицинскую лабораторию, либо получить назначение врача поликлиники. После правильного взятия биоматериала придется выждать положенный срок, затем заказать заключение. Когда ситуация экстренная, бланк нужен срочно и предоставляется по месту требования, звоните сотрудникам центра «Медкомиссия». Мы расскажем, где сделать анализ с оформлением справки быстро, недорого, с доставкой!
Часто задаваемые вопросы
Количество бифидо- и лактобактерий (норма >10^7 КОЕ/г), E.coli (нормальные формы), условно-патогенных (стафилококки, клебсиеллы, Candida) снижение полезных — признак дисбаланса.
В нашем медцентре «Медкомиссия» вы можете получить результат без сдачи анализа, работаем без выходных и без очередей.
При поносах, вздутии, запорах, после антибиотиков, аллергии, для детей перед садиком или при иммунодефиците.
Дисбаланс микрофлоры от антибиотиков или инфекций, лечат пробиотиками (Линекс, Бифиформ).
Да, сигнал инфекции, сниженного иммунитета; требует бакпосева с чувствительностью к антибиотикам/фагам.
Наши преимущества
Доступно во всех районах СПб
- Адмиралтейский
- Калининский
- Красногвардейский
- Василеостровский
- Кировский
- Красносельский
- Выборгский
- Колпинский
- Кронштатдский
- Курортный
- Петроградский
- Пушкинский
- Ломоносовский
- Петродворцовый
- Фрунзенский
- Московский
- Приморский
- Центральный
Вам могут понадобиться
